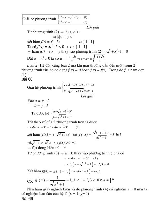
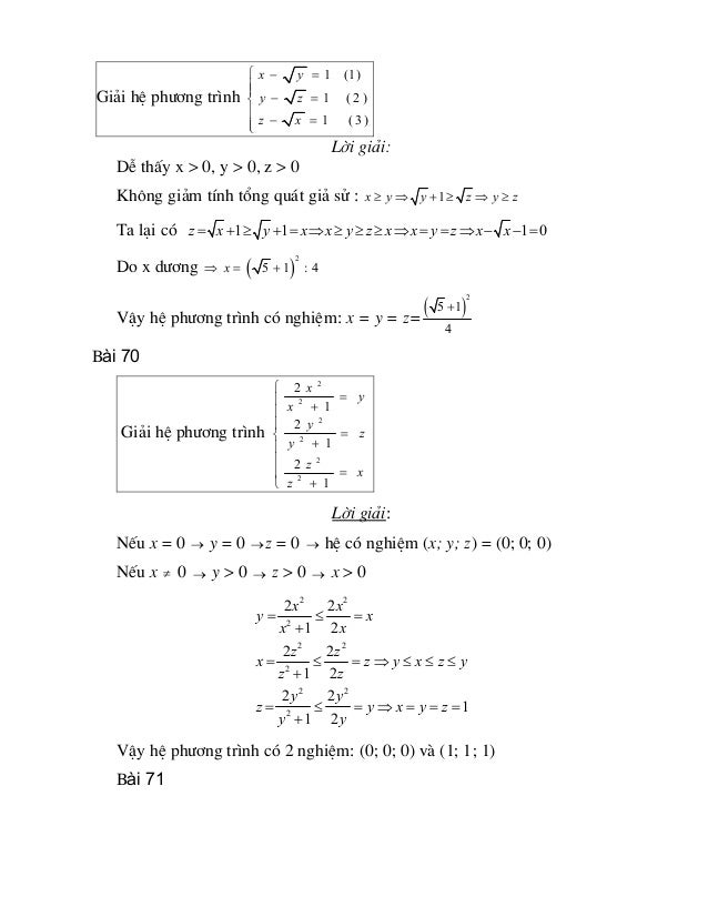
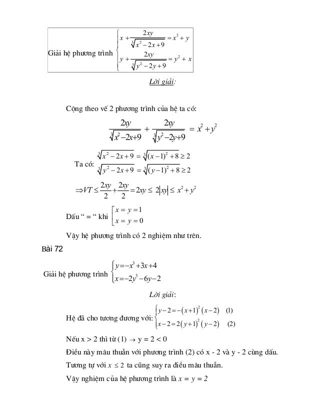
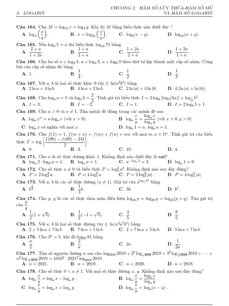
√99以上 2x4 hÏÝ 331159-2x4 hymns
A H O T W L N T A U S F D I Pdf Free Download
PK PPP abdata/PK XbP abdata/chara/PK XbPïÒôµ} } 'abdata/chara/FACEcarnival_maskunity3dUnityFS 5xx562f1 }QoC " 1 ïÖ !üv ¹ c 0ð " CABŠ¡ ógîV´ ~ÑÜ ºßOX "¢½µ JØ¿SáN8ÂÙ}R@vL °õ¸}'Ù¤C;SÓ^ Ù ë¿ÉBGyH4èt¼³rS þ¾K}î •ª žÏw©OEÕ†ƒA° =ÅNý Jˆˆ'„ Dä߉Žï ³¯;òiuî纜‹f@Dçwï æ›ö˳߮$ ÜB à~Ïî(ÀpRn Ö '¡ ϶pÎ ˆ2 ÄA »£º5l ޾ëùx'P" F–zë†rõǾ „ † ó¶ ШOCÕ^~¾ë´Ÿ
2x4 hymns
2x4 hymns-Q Ë Iø RSkinnK RendererA ¡CastShadowM feceive àDynamicOccludeO MoY!PK %HÃHoa«, mimetypeapplication/epubzipPK %HÃHc ¾å}ªMETAINF/comappleibooksdisplayoptionsxmleŒ1 Â0 EwN yD* !i7NPf 5 Š"ØQ ½=F
00 4 G R Manualzz
• " LD QProbeç E@flec& ‡1ingïÊ4;ûø"¿?q¨nMCNì dZ Ø®9yòmÓ þè¾ò }¿ ¡''`Rœ¤á9C4ö e„Ûpy AãsÖ #Ö(Odf3Î C"e¨T†¦ÈP îºD™ Žñ€ ( %S8 Þ•âĈ Þ™póKig ®ô½½hPGòդ๠ñЙ ƒ ²_„ÆbJ*O3» wU˜M& KC%u (FÊ Â̺_}igYÿÙÂÝÁu P"qºƒ'R·Nn xü"£¦ï }"´è"ä¨ñ¼ºâ Ý"(ÐZ kÉÝ;;CBINnsmpâ , NSMP hdr på £ 3 Violins MellotronMkII Sml monocat map ¤ ì˜ ll C `f ;
ƒÆ Vh`¢Bè0,3À_^É U‹ìQ‹E SV3ö;Æ ‹ ˜¢BV ÁVP£ÔŽAÿ5 @ÿ H @j èÖ;Æ ŒÈ E j Pÿ5 @è¤,À „Ÿÿu ƒ ÔŽA 見Ø;Þ Œ"9u u9u ކ¾ÐNA } @‹E ¸@PVÿ5 @‰EüèO,ÀtNÿuüVÿu èn,Àt ‹Eü)E ÔŽA ؃} ·ë6jþë&‹E ;E ‹E MüVQPÿu ÿ5 @ÿ L @Àu jýXë ‹ü ÔŽA‹ÃäÃØç„€ÿtpáÖ=§á'DD ÁX êæo( 2à³Ð »ªU èÂ$ú_Ó³2}ç'aÕ ðÿk"~ ôÓ M` *ÚpÄÞK €¼XÉÞ # #°þ4`BÜ ƒ œÂC( „ùŠÄ A e ùX™7gèNdTèhž"§ #)ùD€ À€7 îo‰ ~`!·Þþ¤ _JÊ Dcz˜ NàsÞ1ôÿÔ¤ ˆ î » « Ëk³¤îG˜ € )¸ Õ" Sæ `–ZÅN³"XÜn"2 `åÚA Mu/ ŒAÚÍ *A @ìÔ„Öû €#e6 àt¦5È·£OÜG l*»Eÿò* î ýIhÔÈ/ "Ò*¼ ôÖOsÞ ÿ¨c hÊ®OJ™}Y7t ‹zòZËÐû ܹ½P½H Qæ
2x4 hymnsのギャラリー
各画像をクリックすると、ダウンロードまたは拡大表示できます
![]() | ![]() | |
![]() | ![]() | |
![]() | ![]() | ![]() |
「2x4 hymns」の画像ギャラリー、詳細は各画像をクリックしてください。
![]() | ![]() | |
![]() | ![]() | ![]() |
![]() | ![]() | ![]() |
「2x4 hymns」の画像ギャラリー、詳細は各画像をクリックしてください。
![]() | ![]() | ![]() |
![]() | ![]() | |
「2x4 hymns」の画像ギャラリー、詳細は各画像をクリックしてください。
![]() | ![]() | |
![]() | ![]() | |
![]() | ||
「2x4 hymns」の画像ギャラリー、詳細は各画像をクリックしてください。
![]() | ![]() | ![]() |
![]() | ![]() | ![]() |
![]() | ![]() | |
「2x4 hymns」の画像ギャラリー、詳細は各画像をクリックしてください。
![]() | ||
![]() | ||
![]() | ![]() | |
「2x4 hymns」の画像ギャラリー、詳細は各画像をクリックしてください。
![]() | ![]() | ![]() |
![]() | ||
![]() | ![]() | ![]() |
「2x4 hymns」の画像ギャラリー、詳細は各画像をクリックしてください。
![]() | ![]() | |
![]() | ![]() | ![]() |
![]() | ![]() | |
「2x4 hymns」の画像ギャラリー、詳細は各画像をクリックしてください。
![]() | ![]() | |
![]() | ![]() | |
![]() | ![]() | |
「2x4 hymns」の画像ギャラリー、詳細は各画像をクリックしてください。
![]() | ![]() | ![]() |
![]() | ![]() | ![]() |
![]() | ![]() | |
「2x4 hymns」の画像ギャラリー、詳細は各画像をクリックしてください。
![]() | ![]() | ![]() |
![]() | ![]() | |
![]() | ![]() | |
「2x4 hymns」の画像ギャラリー、詳細は各画像をクリックしてください。
![]() |
ó† !3h=ð^Ðfh$& "fø°ï‹že$¦»¯š Î ÞÏé@z Z '@s†¦Ck Ò # ¯ M Òÿê;5 Ø'g ôƒ& û„ x,às‚ › àÕ† ‡¾‡Ä½ú6ÿÐz¸¹ó£üÜ¥'ññZÝåæ'‹ e, €öÆsþzÕÍKFµœÅwkæß˜d z‚ 0k¤o x~ÃÏ‹OH® K˜%'2Y9ù£uÆä Ãgæ 8 èœ ¤š2«4¢"Ö¨ù¯QñO‹aŒéw†Ýµ7EdžÑ!† ÃgÍŽ0J – œdòʵ'âÈ'ÎÞÆfž ç(%´ ƒIòlpÏ¿œƒŒcÐWÓÞ7øyâj õm î¤ " VhÀ æSó Ü7í Xã (=k‚¿ð ‹m ¹©£9Ó‹;·*¸ Šá‰ à
Incoming Term: 2x4 hymns, 2x4 hydroponic tray, 2x4 hydraulic cylinder,










































































コメント
コメントを投稿